产业结构协调-高级化、合理化(2000-2020年)

会员社区
| 来源:中国统计年鉴、国家统计局
一、数据介绍

数据名称:产业结构协调-高级化、合理化

数据年份:2000-2020年

数据范围:全国31个省份

数据来源:中国统计年鉴、国家统计局

数据整理:马克数据网,内含原始版本、线性插值版本、ARIMA填补版本

数据说明:参考《经济研究》中钞小静(2011)和干春晖(2011)两篇文章 ,利用熵值法和主成分分析进行测算,包括原始数据及测算结果

二、参考文献

[1]钞小静,任保平.中国经济增长质量的时序变化与地区差异分析[J].经济研究,2011,46(04):26-40.

[2]干春晖,郑若谷,余典范.中国产业结构变迁对经济增长和波动的影响[J].经济研究,2011,46(05):4-16+31.

产业结构协调-高级化、合理化

三、指标说明

指标指标来源
第一产业就业人员数(万人)中国统计年鉴
第二产业就业人员数(万人)中国统计年鉴
第三产业就业人员数(万人)中国统计年鉴
就业人员数(万人)中国统计年鉴
第一产业增加值国家统计局
第二产业增加值国家统计局
第三产业增加值国家统计局
地区生产总值国家统计局
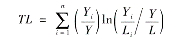
产业结构合理化指数
产业结构高级化指数第三产业增加值 / 第二产业增加值
三产值占比第三产业增加值 / 地区生产总值
技术成果市场化技术市场成交额 / 地区生产总值
综合得分-熵权法熵权法测算
综合得分-主成分主成分分析综合测算

指标

产业结构协调-高级化、合理化

四、数据概览

文件概览

产业结构协调-高级化、合理化

原始数据

产业结构协调-高级化、合理化

测算结果

产业结构协调-高级化、合理化

下载链接
需要登录后查看 点击登录
newuser
您好!请问您的测算方法和测算参考文献是?
WdjeQ9
这是省级还是市级
zgucnC
省级数据
客服一:372574023(QQ)
客服二: macrodatas@163.com